整车与电驱动的动力匹配 / 功率和扭矩 一

电驱动系统的主要性能参数从根本上都来自于整车的动力需求。例如峰值功率和扭矩,持续功率,最高转速,恒扭矩和恒功率的拐点转速,以及减速器的速比选择等等。这些参数的选择需要从整车出发,分析在不同的工况下,对动力的具体需求,再具体到具体的参数上,才能定义需要设计一个什么样的电驱动总成。
从整车角度,汽车驱动力和行驶阻力是做动力性分析的基本的要素。
一 汽车驱动力平衡方程
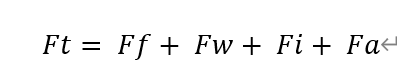
汽车的驱动力和行驶阻力平衡方程式:
![]()
其中 Ft是驱动力,Ff 指轮胎与路面之间的滚动阻力,Fw为空气阻力,Fa为加速阻力。
Ff 是由于轮胎迟滞现象产生的等效滚动阻力,可以由垂向载荷Fz与滚动阻力系数f的乘积。
![]()
![]()
其中:
经验数据: f0: 0.0072~0.0120,f1:0.00025~0.00280;
f4 — 0.00065~0.002;Va — 汽车行驶速度,单位为km/h;对于良好沥青路面,c=1.2 ,
空气阻力Fw :
![]()
其中:Cd:风阻系数, Af :迎风面积 m2,ρ:空气密度 1.293kg/m3,Uar:车速m/s。
坡道阻力Fi:
![]()
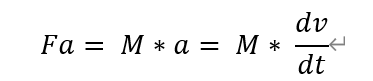
加速阻力Fa:
![]()
额定功率的选择: 考虑电动汽车各种稳态工况。 A: 以最高车速匀速行驶消耗功率。B 以匀速爬坡所消耗功率(某设定转速)
A:以最高车速匀速行驶消耗功率

其中:
M单位kg, f 滚动阻力系数,umax 单位km/h,Cd风阻系数,Af单位m2。η是传动效率,从轮端到电驱动系统的传动效率,换算到对电驱动的需求。
B: 以匀速度爬坡所消耗的功率:

其中:is ?
电驱的持续功率 Pe要取Pu 和 Pi之间的大值。
峰值功率的选择:电机的峰值功率Pmax = λ*Pe. λ为电机的过载系数,主要考虑短时的功率需求。
比如在80km/h下匀速行驶时,突然需要加速。这种情况下,短时峰值功率需求就是80Km/h下的持续功率 + 加速力(惯性力)的功率。此时,电机持续功率运行下,电机定转子已经是热态。因此一般在做峰值性能仿真的时候,会假定定转子的起始温度,例如定子100℃,转子80℃。在此基础上,仿真电机的峰值性能,例如在30s内定子不超过180℃,来摸到电机的峰值能力。

其中:δ指??
持续功率计算案例:

峰值扭矩的需求:主要有两点: A 满足整车最大爬坡度, B 满足整车的加速时间(百公里加速)
A:最大爬坡度要求(例如满足30坡度):

其中:
ig ,i0 是齿轮速比和主减速比,Tm是指电机的扭矩。
B:满足整车加速时间(例如百公里加速3.5s)
从整车整备质量M 和加速时间可以求得加速度要求,进而可以得到对峰值扭矩的要求。
百公里加速的计算案例:

持续扭矩的需求:
对电机来说,持续扭矩就是电机30min运转达到热稳定的最大扭矩值。
但是整车对持续扭矩的需求是什么呢? 能理解到的是,最高持续车速下,不仅EDS持续功率要满足,同时EDS此时的提供的扭矩能够满足车辆驱动力的平衡方程。同样,匀速爬坡的时候一样的需求。但是这个扭矩和30min的持续扭矩不是同样的。
声明:
转载请注明出处,并且附上原文链接。
